所在位置: 首页»
首页大图

2025年10月15日,北京师范大学认知神经科学与学习国家重点实验室、IDG/麦戈文脑科学研究院牛海晶团队及合作者在在国际顶级学术期刊《Science Advances》发表题为“Developmental alterations in brain network asymmetry in 3- to 9-month infants with congenital sensorineural hearing loss”的研究论文。该研究系统揭示了在生命早期先天性听力损失如何影响婴儿大脑功能网络偏侧化的正常发育轨迹,为早期听觉干预和语言康复的“黄金窗口期”提供了至关重要的神经科学依据。
【研究背景】婴儿期,尤其是出生后的第一年,是人类大脑发育最迅猛、可塑性最强的时期。大脑如同一个正在快速搭建的复杂网络,每秒形成数百万个神经连接。这个过程高度依赖于感官体验——婴儿通过看、听、触摸来塑造他们的大脑。其中,听觉输入是驱动大脑语言、认知和社会功能网络发展的关键动力之一。然而,当这一重要的感官通道——听觉——因先天性感音神经性听力损失(SNHL)而受阻时,大脑的发育轨迹是否会因此改变?这成为了发育神经科学领域一个亟待解答的核心问题。
大脑并非完全对称。在进化中,两个半球发展出了不同的功能优势,被称为功能偏侧化。通常,左半球在语言、精细运动控制等方面更具优势,而右半球更擅长处理空间信息、面孔识别和情绪韵律。这种“分工协作”是大脑实现高效信息处理的重要组织原则。偏侧化的出现和巩固,被认为是典型神经发育的一个关键标志。
以往研究指出,听觉经验缺失会改变大脑的组织方式。但一个更深层的问题是:这种改变究竟源于听觉输入的缺失本身,还是源于随之而来的语言经验的剥夺?有研究发现,那些出生在聋人家庭、从小接触手语的听力损失婴儿,其大脑语言区的偏侧化发展可以与健听婴儿无异。这表明,可理解的语言刺激(无论是听觉还是视觉形式)可能对大脑偏侧化至关重要。
因此,本研究聚焦于一个特殊且未被充分研究的群体:先天性听力缺失婴儿,他们既缺乏充分的听觉输入,在早期(研究进行时)也未能系统性地接触手语或口语。这使得研究者能够更纯粹地考察“听觉经验缺失”本身对大脑网络偏侧化早期发育的影响。
【方法】我们采用功能性近红外光谱成像(fNIRS) 这一安全、安静、适用于婴儿的脑功能成像技术,对112名3至9月龄的婴儿(其中52名为SNHL婴儿,60名为正常听力对照)进行了静息态脑功能数据采集。通过构建大脑半球功能网络并分析其拓扑属性(如全局效率、局部效率),我们揭示了以下关键发现:
【主要发现】
1)听力缺失婴儿基础脑网络结构保留,但发展轨迹异常
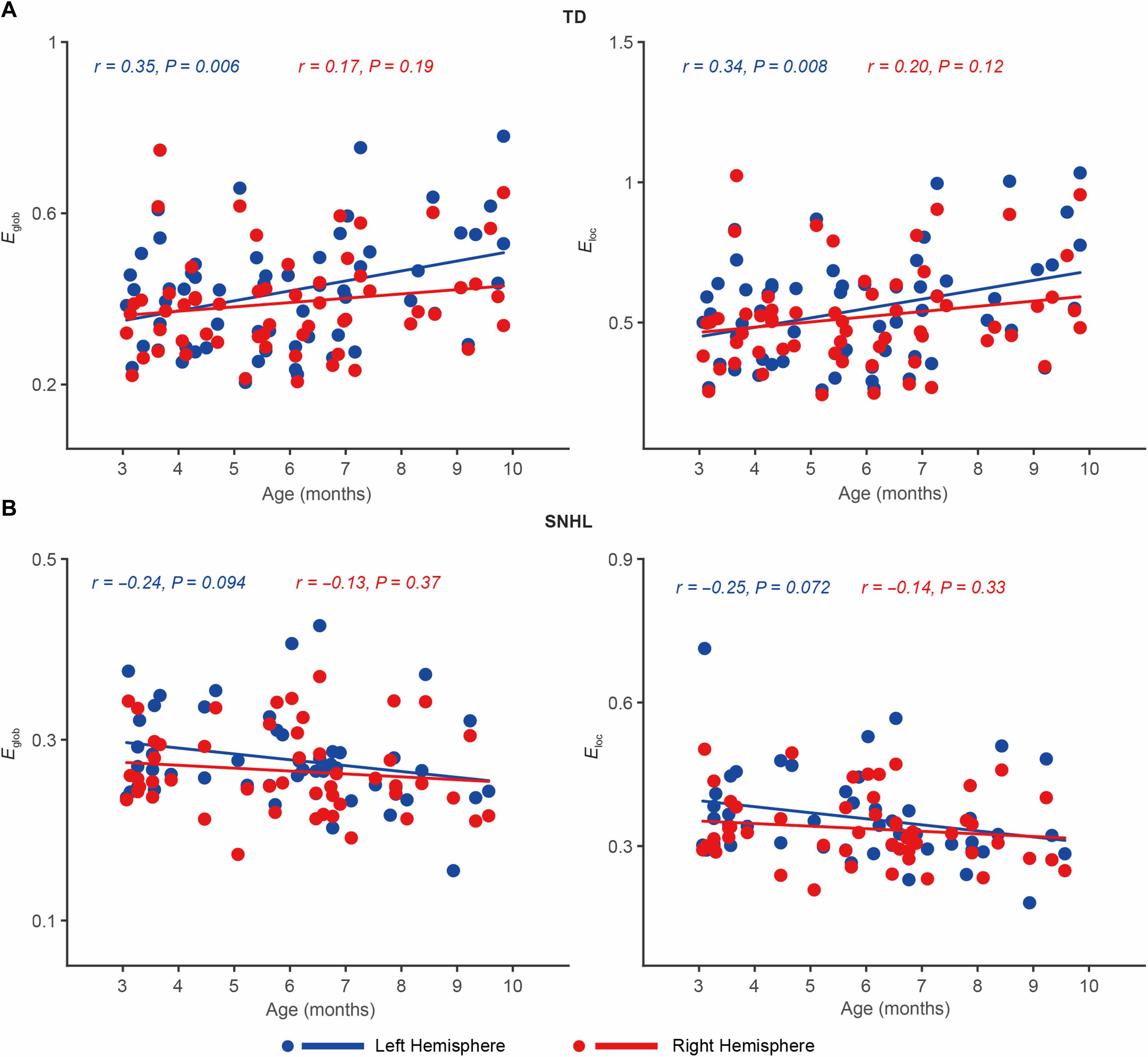
与正常听力婴儿类似,听力缺失婴儿在左右半球内部仍具备高效的“小世界”网络特性(图1),表明其大脑基础架构具有一定的韧性。然而,在半球间的协调发展上出现了显著差异:正常听力婴儿随着年龄增长,左半球的网络效率显著增强,呈现出典型的“左偏侧化”趋势;而听力缺失婴儿则未出现这种趋势,其左右半球网络效率的发展基本保持对称,未能形成应有的功能优势(图2-4)。
2)听力缺失婴儿听力损失越重,左偏侧化越弱(图5)
研究进一步按听力损失程度对婴儿进行分组后发现:
在轻度听力损失婴儿中,左半球在全局效率和前额叶节点效率上仍占优势。
然而,随着听力损失程度加重至中度、重度乃至极重度,这种左偏侧化模式逐渐减弱甚至完全消失。
相关分析直接证实,听力损失越严重(听觉脑干反应阈值越高),前额叶节点效率的左偏侧化程度就越低。
【本研究意义及展望】
本研究在婴儿期精准刻画了先天性听力损失对大脑功能网络偏侧化发展的早期影响,研究表明:即使在没有明显语言经验介入的极早期阶段,单纯的听觉经验缺失已足以破坏大脑功能偏侧化的正常发育程序,该研究
强调早期听觉干预的极端重要性:研究结果提示,为了支持大脑形成典型的功能偏侧化,需要在生命最初的几个月内为听力受损婴儿提供听觉接入(如助听器),这对于促进未来语言和认知能力的发展至关重要。
为精准干预提供依据:研究发现即使是轻度听力损失也会影响大脑发育,指出应对所有程度的听力损失进行早期识别和干预。
指明未来研究方向:下一步,团队将通过纵向研究,追踪考察早期干预(如人工耳蜗植入)能否扭转这些异常的神经发展轨迹,从而为康复效果评估提供客观的神经标志物。
北京师范大学已毕业硕士刘广芳、首都医科大学附属儿童医院已毕业硕士周欣、北京师范大学在读博士胡振燕为该论文共同第一作者;北京师范大学牛海晶与首都医科大学附属儿童医院刘海红为论文共同通讯作者。该研究受到科技创新2030-“脑科学与类脑研究”重大项目 (2021ZD0200500) 和国家重点研发计划(2023YFF1203504)资助。
论文连接:G. Liu, X. Zhou, Z. Hu, Y. Liu, E. Huo, H. Bortfeld, Q. Dong, C. Chen, H. Liu, H. Niu, Developmental alterations in brain network asymmetry in 3- to 9-month infants with congenital sensorineural hearing loss. Sci. Adv. 11, eadx1327 (2025).
https://www.science.org/doi/10.1126/sciadv.adx1327
课题组前期在脑偏侧化方面开展了系列研究,相关论文如下:
1. Y. Liu, H. Li, X. Zhou, Y. Chen, X. Wang, Z. Lin, H. Niu, H. Liu, Functional connectivity changes in infants with varying degrees of unilateral hearing loss. Cerebral Cortex 33, 9165–9174 (2023).
2. G. Jia, G. Liu, H. Niu, Hemispheric Lateralization of Visuospatial Attention Is Independent of Language Production on Right-Handers: Evidence From Functional Near-Infrared Spectroscopy. Front. Neurol. 12, 784821 (2022).
3. G. Liu, E. Huo, H. Liu, G. Jia, Y. Zhi, Q. Dong, H. Niu, Development and emergence of functional network asymmetry in 3- to 9-month-old infants. Cortex 154, 390–404 (2022).
4. J. Ren, L. Cai, G. Jia, H. Niu, Cortical specialization associated with native speech category acquisition in early infancy. Cerebral Cortex 34, bhae124 (2024).
5. L. Cai, Q. Dong, H. Niu, The development of functional network organization in early childhood and early adolescence: A resting-state fNIRS study. Developmental Cognitive Neuroscience 30, 223–235 (2018).
6. L. Cai, Q. Dong, M. J. Wang, H. J. Niu, Functional near-infrared spectroscopy evidence for the development of topological asymmetry between hemispheric brain networks from childhood to adulthood. Neurophotonics 6 (2019).

图1:TD与SNHL婴儿的功能连接矩阵及小世界网络特征

图2:TD与SNHL婴儿功能网络全局效率及局部效率偏侧化发育轨迹差异

图3:TD与SNHL婴儿功能网络全局效率及局部效率半球发育轨迹的差异

图4:TD与SNHL婴儿额叶节点效率的偏侧化及半球发育轨迹的差异

图5:SNHL婴儿听力损失程度对功能网络效率偏侧化的影响